在道路照明中,如果沒有對
LED路燈光源配光,照射在路面上的光型為面積較大的圓形光斑,會有部分光散落到路面之外而沒有被利用,如圖1(a)所示。
為了滿足對路面的亮度、照度、均勻度的要求,且盡可能使得大部分光都分布在道路面上以提高燈光的利用率,減少不必要的浪費,通常需要對LED路燈進行配光,LED路燈輸出的光線照射在路面上所形成的光型或光斑以矩形為佳,如圖1(b)所示。

圖1、LED路燈道路照明照射光斑示意圖
1、道路照明標準配光要求 根據《城市道路照明設計標準》要求,道路照明中道路分為快速路與主干路、次干路、支路,LED道路照明配光要求標準值應符合表1的規定。
表1 道路照明標準值目前的LED路燈研究主要集中在次干路和支路上的應用,光通量小是LED路燈不能應用在主干路上的主要原因。在主干路上的應用還有待LED技術的研究和發展。
|
級別 |
道路類型 |
路面亮度 |
路面照度 |
眩光限制 閾值增量 TI(%) 最大初始值 |
環境比 SR 最小值 |
|
平均亮度 Lav(cd/m2) 維持值 |
總均勻度 Uo 最小值 |
縱向均勻度 UL 最小值 |
平均照度 Eh,av(lx) 維持值 |
均勻度 UE 最小值 |
|
Ⅰ |
快速路、主干路 |
1.50/2.00 |
0.4 |
0.7 |
20/30 |
0.4 |
10 |
0.5 |
|
Ⅱ |
次干路 |
1.00/1.50 |
0.4 |
0.5 |
15/20 |
0.4 |
10 |
0.5 |
|
Ⅲ |
支路 |
0.50/0.75 |
0.4 |
—— |
8/10 |
0.3 |
15 |
—— |
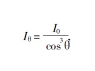
2、LED路燈的配光曲線 發光強度的空間分布通常稱為配光曲線。在LED路燈的下方,光強應是最小,隨著仰角θ增加,光強I增加。函數關系為:

即配光曲線表達式。道路照明單一燈具的理想配光曲線示意圖如圖2所示。
由于光學設計復雜性,配光形狀難以完全符合函數關系,可以減小θ角的投射范圍,減少燈具的間距來得到均勻照度。一般來說,希望在配光后能實現寬角度的“蝙蝠翼”形配光。

圖2:道路照明LED路燈理想的配光曲線圖
將《戶外大功率LED路燈配光特點和要求》分享到: